產品服務

阿托西班改善胚胎移植結局的隨機和非隨機試驗的系統回顧和薈萃分析
上傳日期:2021-04-25 14:34:07 瀏覽次數:1 次
摘要
目的:評價阿托西班改善胚胎移植結局的有效性。每個胚胎移植周期的成功率仍然相對較低,一種較可能的解釋是子宮過度收縮將移植的胚胎排出體外,阿托西班通過降低子宮收縮力來改善胚胎移植的結局。
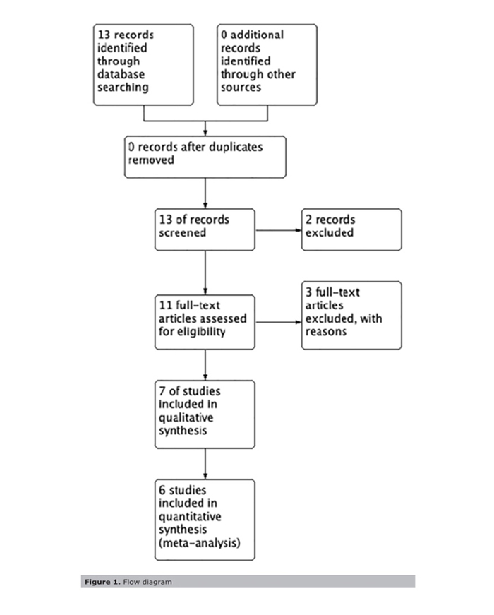
方法:數據來源:使用MEDLINE和EMBASE(1990-2019)數據庫對英文文章進行系統回顧,檢索詞:包括阿托西班、胚胎移植。研究選擇:我們納入將阿托西班與對照組進行胚胎移植結果比較的研究。數據提?。河蓛晌蛔髡呤褂妙A定義的數據字段(包括研究質量指標)獨立提取論文。
結果:所有匯總分析均基于固定效應模型。符合我們納入標準的有四項隨機對照試驗(包括1025名女性)和兩項非隨機試驗(包括686例患者)。在兩項研究中,異質性均為中度。 阿托西班可增加臨床妊娠率,而與輔助生殖技術的適應癥或移植的胚胎質量無關。(無論ART適應癥或移植的胚胎類型如何,Atosiban均可增加臨床妊娠率。)隨機對照試驗的合并OR為1.47(95%置信區間1.18-1.82),非隨機對照試驗的OR為1.50(95%置信區間 1.10-2.05)。
結論:阿托西班似乎可提高接受胚胎移植婦女的臨床妊娠率。
(來源: https://doi.org/10.1080/14767058.2017.1421166)











